Longitudinal Models of Change#

import arviz as az
import bambi as bmb
import matplotlib.pyplot as plt
import numpy as np
import pandas as pd
import preliz as pz
import pymc as pm
import statsmodels.api as sm
import xarray as xr

lowess = sm.nonparametric.lowess
%config InlineBackend.figure_format = 'retina'  # high resolution figures
az.style.use("arviz-darkgrid")
rng = np.random.default_rng(42)

The study of change involves simultaneously analysing the individual trajectories of change and abstracting over the set of individuals studied to extract broader insight about the nature of the change in question. As such it’s easy to lose sight of the forest for the focus on the trees. In this example we’ll demonstrate some of the subtleties of using hierarchical bayesian models to study the change within a population of individuals - moving from the within individual view to the between/cross individuals perspective.

We’ll follow the discussion and iterative approach to model building outlined in Singer and Willett’s Applied Longitudinal Data Analysis. For more details Singer .D and Willett .B [2003]). We’ll differ from their presentation in that while they focus on maximum likelihood methods for fitting their data we’ll use PyMC and Bayesian methods. In this approach we’re following Solomon Kurz’s work with brms in Kurz [2021]. We strongly recommend both books for more detailed presentation of the issues discussed here.

Structure of the Presentation#

  • Analysis of the Change over time in Alcohol consumption among teens

  • Interlude: Alternative Model Specification with Bambi

  • Analysis of the Change over time in Externalising Behaviours among teens

  • Conclusion

Exploratory Data Analysis: The Chaos of Individual Differences#

For any longitudinal analysis we need three components: (1) multiple waves of data collection (2) a suitable definition of time and (3) an outcome of interest. Combining these we can assess how the individual changes over time with respect that outcome. In this first series of models we will look at how adolescent alcohol usage varies between children from the age of 14 onwards with data collected annually over three years.

try:
    df = pd.read_csv("../data/alcohol1_pp.csv")
except FileNotFoundError:
    df = pd.read_csv(pm.get_data("alcohol1_pp.csv"))

df["peer_hi_lo"] = np.where(df["peer"] > df["peer"].mean(), 1, 0)
df
id age coa male age_14 alcuse peer cpeer ccoa peer_hi_lo
0 1 14 1 0 0 1.732051 1.264911 0.246911 0.549 1
1 1 15 1 0 1 2.000000 1.264911 0.246911 0.549 1
2 1 16 1 0 2 2.000000 1.264911 0.246911 0.549 1
3 2 14 1 1 0 0.000000 0.894427 -0.123573 0.549 0
4 2 15 1 1 1 0.000000 0.894427 -0.123573 0.549 0
... ... ... ... ... ... ... ... ... ... ...
241 81 15 0 1 1 0.000000 1.549193 0.531193 -0.451 1
242 81 16 0 1 2 0.000000 1.549193 0.531193 -0.451 1
243 82 14 0 0 0 0.000000 2.190890 1.172890 -0.451 1
244 82 15 0 0 1 1.414214 2.190890 1.172890 -0.451 1
245 82 16 0 0 2 1.000000 2.190890 1.172890 -0.451 1

246 rows × 10 columns

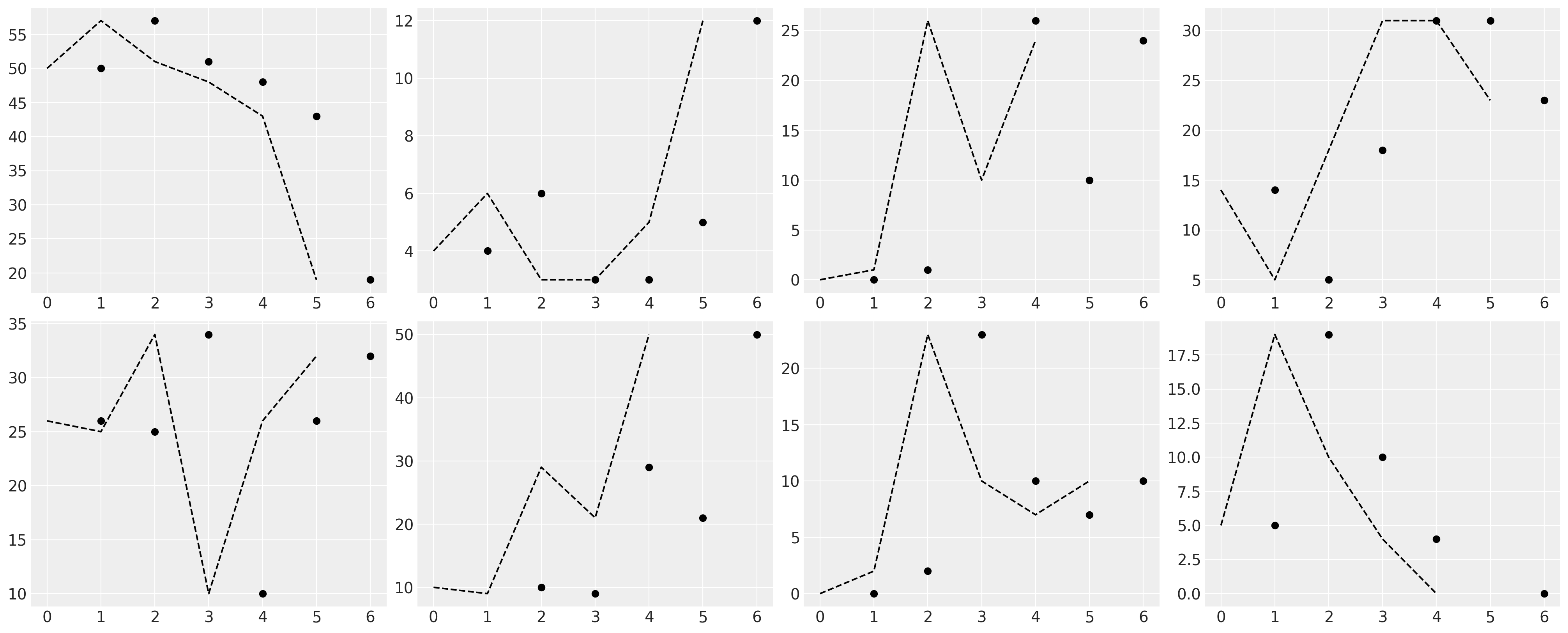
First we’ll examine the consumption patterns of a subset of the chidren to see how their reported usage exhibits a range of different trajectories. All the trajectories can be plausibly modelled as a linear phenomena.

fig, axs = plt.subplots(2, 4, figsize=(20, 8), sharey=True)
axs = axs.flatten()
for i, ax in zip(df["id"].unique()[0:8], axs):
    temp = df[df["id"] == i].sort_values("age")
    ax.plot(temp["age"], temp["alcuse"], "--o", color="black")
    ax.set_title(f"Subject {i}")
    ax.set_ylabel("alcohol Usage")
    ax.set_xlabel("Age")
../_images/cb51b79da3d2ea65a74632f35d3f6fc34ece85c010e19f4603eee7e16a6809fd.png

We might think that the alcohol usage patterns varies by the effects of gender, but individual trajectories are noisy. In the next series of plots we fit simple regression models over the individual data and color the trend line by whether or not the slope coefficient is \(\color{green}{negative}\) or \(\color{red}{positive}\). This very crudely gives an impression of whether and how the consumption patterns change for individuals of each gender.

The green and red lines represent an individual’s OLS fit, but the grey dotted lines represent an individual’s observed trajectory.

Hide code cell source
fig, axs = plt.subplots(1, 2, figsize=(20, 5), sharey=True)
lkup = {0: "Male", 1: "Female"}

axs = axs.flatten()
for i in df["id"].unique():
    temp = df[df["id"] == i].sort_values("age")
    params = np.polyfit(temp["age"], temp["alcuse"], 1)
    positive_slope = params[0] > 0
    if temp["male"].values[0] == 1:
        index = 0
    else:
        index = 1
    if positive_slope:
        color = "red"
    else:
        color = "darkgreen"
    y = params[0] * temp["age"] + params[1]
    axs[index].plot(temp["age"], y, "-", color=color, linewidth=2)
    axs[index].plot(
        temp["age"], temp["alcuse"], "--o", mec="black", alpha=0.1, markersize=9, color="black"
    )
    axs[index].set_title(f"Regression Trajectories by Gender: {lkup[index]}")
    axs[index].set_ylabel("alcohol Usage")
    axs[index].set_xlabel("Age")
../_images/496d04259c81687ecd86709da11024de77587f2be9867f57b4fecea23318bb51.png

Next we examine the same plot but stratify the children by whether or not they were a child of an alcoholic parent.

Hide code cell source
fig, axs = plt.subplots(1, 2, figsize=(20, 5), sharey=True)
lkup = {0: "Yes", 1: "No"}
axs = axs.flatten()
for i in df["id"].unique():
    temp = df[df["id"] == i].sort_values("age")
    params = np.polyfit(temp["age"], temp["alcuse"], 1)
    positive_slope = params[0] > 0
    if temp["coa"].values[0] == 1:
        index = 0
    else:
        index = 1
    if positive_slope:
        color = "red"
    else:
        color = "darkgreen"
    y = params[0] * temp["age"] + params[1]
    axs[index].plot(temp["age"], y, "-", color=color, linewidth=2)
    axs[index].plot(
        temp["age"], temp["alcuse"], "--o", alpha=0.1, mec="black", markersize=9, color="black"
    )
    axs[index].set_title(f"Regression Trajectories by Parental alcoholism: {lkup[index]}")
    axs[index].set_ylabel("alcohol Usage")
    axs[index].set_xlabel("Age")
../_images/6ef96c8b15e7b2edfcebd50a95c2484086a018fd05a12cb5b5203aa1bac1bbf2.png

We’ll conclude our exploration of this data set by crudely grouping the children into whether or not their peer group reports a high score of alcohol usage.

Hide code cell source
fig, axs = plt.subplots(1, 2, figsize=(20, 5), sharey=True)
lkup = {0: "Hi", 1: "Lo"}
axs = axs.flatten()
for i in df["id"].unique():
    temp = df[df["id"] == i].sort_values("age")
    params = np.polyfit(temp["age"], temp["alcuse"], 1)
    positive_slope = params[0] > 0
    if temp["peer_hi_lo"].values[0] == 1:
        index = 0
    else:
        index = 1
    if positive_slope:
        color = "red"
    else:
        color = "darkgreen"
    y = params[0] * temp["age"] + params[1]
    axs[index].plot(temp["age"], y, "-", color=color, label="Regression Fit")
    axs[index].plot(
        temp["age"],
        temp["alcuse"],
        "--o",
        mec="black",
        alpha=0.1,
        markersize=9,
        color="black",
        label="Observed",
    )
    axs[index].set_title(f"Regression Trajectories by Peer Usage Score: {lkup[index]}")
    axs[index].set_ylabel("alcohol Usage")
    axs[index].set_xlabel("Age")
../_images/8d6b43d4e9050496125be017d069a8bb50bce97ecf6aac407c62d346be465f2c.png

The overall impression of this exploratory exercise is to cement the idea of complexity. There are many individual trajectories and unique journeys through time, but if we want to say something general about the phenomena of interest: parental alcoholism on child’s alcohol usage we need to do more than give up in the face of complexity.

Modelling Change over Time.#

We begin with a simple unconditional model where we model only the individual’s contribution to the final outcome. In other words this model is marked by the distinction that it contains no predictors. It serves to partition the sources of variation in the outcome, ascribing more or less aberrant behaviour to each individual in the degree that they move away from the grand mean.

The Unconditional Mean Model#

id_indx, unique_ids = pd.factorize(df["id"])
coords = {"ids": unique_ids, "obs": range(len(df["alcuse"]))}
with pm.Model(coords=coords) as model:
    subject_intercept_sigma = pm.HalfNormal("subject_intercept_sigma", 2)
    subject_intercept = pm.Normal("subject_intercept", 0, subject_intercept_sigma, dims="ids")
    global_sigma = pm.HalfStudentT("global_sigma", 1, 3)
    global_intercept = pm.Normal("global_intercept", 0, 1)
    grand_mean = pm.Deterministic("grand_mean", global_intercept + subject_intercept[id_indx])
    outcome = pm.Normal("outcome", grand_mean, global_sigma, observed=df["alcuse"], dims="obs")
    idata_m0 = pm.sample_prior_predictive()
    idata_m0.extend(
        pm.sample(random_seed=100, target_accept=0.95, idata_kwargs={"log_likelihood": True})
    )
    idata_m0.extend(pm.sample_posterior_predictive(idata_m0))

pm.model_to_graphviz(model)
Sampling: [global_intercept, global_sigma, outcome, subject_intercept, subject_intercept_sigma]
Auto-assigning NUTS sampler...
Initializing NUTS using jitter+adapt_diag...
Multiprocess sampling (4 chains in 4 jobs)
NUTS: [subject_intercept_sigma, subject_intercept, global_sigma, global_intercept]


Sampling 4 chains for 1_000 tune and 1_000 draw iterations (4_000 + 4_000 draws total) took 5 seconds.
Sampling: [outcome]


../_images/e92b9c131b709dd3102a2bbda8a48ec4e31709504f4c74c002a97a6fba5b5619.svg
az.summary(idata_m0, var_names=["subject_intercept_sigma", "global_intercept", "global_sigma"])
mean sd hdi_3% hdi_97% mcse_mean mcse_sd ess_bulk ess_tail r_hat
subject_intercept_sigma 0.766 0.084 0.604 0.917 0.002 0.001 2852.0 2579.0 1.0
global_intercept 0.913 0.100 0.709 1.088 0.003 0.002 1032.0 1798.0 1.0
global_sigma 0.757 0.043 0.676 0.833 0.001 0.001 3442.0 2960.0 1.0
fig, ax = plt.subplots(figsize=(20, 7))
expected_individual_mean = idata_m0.posterior["subject_intercept"].mean(axis=1).values[0]

ax.bar(
    range(len(expected_individual_mean)),
    np.sort(expected_individual_mean),
    color="slateblue",
    ec="black",
)
ax.set_xlabel("Individual ID")
ax.set_ylabel("alcohol Use")
ax.set_title("Distribution of Individual Modifications to the Grand Mean");
../_images/27bed2cffbf77245799132d03bf9a57ed1a0f3eeba63a1b4cb37097bf086e809.png

We see here the variation in the implied modification of the grand mean by each individual under the study.

Unconditional Growth Model#

Next we will more explictly model the individual contribution to the slope of a regression model where time is the key predictor. The structure of this model is worth pausing to consider. There are various instantiations of this kind of hierarchical model across different domains and disciplines. Economics, political science, psychometrics and ecology all have their own slightly varied vocabulary for naming the parts of the model: fixed effects, random effects, within-estimators, between estimators…etc, the list goes and the discourse is cursed. The terms are ambiguous and used divergingly. Wilett and Singer refer to the Level 1 and Level 2 sub-models, but the precise terminology is not important.

The important thing about these models is the hierarchy. There is a global phenomena and a subject specific instantiation of the phenomena. The model allows us to compose the global model with the individual contributions from each subject. This helps the model account for unobserved heterogeneity at the subject level.Resulting in varying slopes and intercepts for each subject where allowed by the model specification. It can’t solve all forms of bias but it does help account for this source of skew in the model predictions.

\[\begin{split} \begin{aligned} & alcohol \sim Normal(\color{purple}{\mu, \sigma}) \\ & \color{purple}{\mu} = \color{red}{\alpha} + \color{green}{\beta} \cdot age \\ & \color{red}{\alpha} = \sum_{j=0}^{N} \alpha_{1} + \alpha_{2, j} \ \ \ \ \forall j \in Subjects \\ & \color{green}{\beta} = \sum_{j=0}^{N} \beta_{1} + \beta_{2, j} \ \ \ \ \forall j \in Subjects \\ & \color{purple}{\sigma} = HalfStudentT(?, ?) \\ & \alpha_{i, j} \sim Normal(?, ?) \\ & \beta_{i, j} \sim Normal(?, ?) \end{aligned} \end{split}\]

Fitting the model then informs us about how each individual modifies the global model, but also lets us learn global parameters. In particular we allow for a subject specific modification of the coefficient on the variable representing time. A broadly similar pattern of combination holds for all the hierarchical models we outline in the following series of models. In the Bayesian setting we’re trying to learn the parameters that best fit the data. Implementing the model in PyMC is as follows:

id_indx, unique_ids = pd.factorize(df["id"])
coords = {"ids": unique_ids, "obs": range(len(df["alcuse"]))}
with pm.Model(coords=coords) as model:
    age_14 = pm.MutableData("age_14_data", df["age_14"].values)

    ## Level 1
    global_intercept = pm.Normal("global_intercept", 0, 1)
    global_sigma = pm.HalfStudentT("global_sigma", 1, 3)
    global_age_beta = pm.Normal("global_age_beta", 0, 1)

    subject_intercept_sigma = pm.HalfNormal("subject_intercept_sigma", 5)
    subject_age_sigma = pm.HalfNormal("subject_age_sigma", 5)

    ## Level 2
    subject_intercept = pm.Normal("subject_intercept", 0, subject_intercept_sigma, dims="ids")
    subject_age_beta = pm.Normal("subject_age_beta", 0, subject_age_sigma, dims="ids")

    growth_model = pm.Deterministic(
        "growth_model",
        (global_intercept + subject_intercept[id_indx])
        + (global_age_beta + subject_age_beta[id_indx]) * age_14,
    )
    outcome = pm.Normal(
        "outcome", growth_model, global_sigma, observed=df["alcuse"].values, dims="obs"
    )
    idata_m1 = pm.sample_prior_predictive()
    idata_m1.extend(
        pm.sample(random_seed=100, target_accept=0.95, idata_kwargs={"log_likelihood": True})
    )
    idata_m1.extend(pm.sample_posterior_predictive(idata_m1))

pm.model_to_graphviz(model)
/home/osvaldo/proyectos/00_BM/pymc-devs/pymc/pymc/data.py:304: FutureWarning: MutableData is deprecated. All Data variables are now mutable. Use Data instead.
  warnings.warn(
Sampling: [global_age_beta, global_intercept, global_sigma, outcome, subject_age_beta, subject_age_sigma, subject_intercept, subject_intercept_sigma]
Auto-assigning NUTS sampler...
Initializing NUTS using jitter+adapt_diag...
Multiprocess sampling (4 chains in 4 jobs)
NUTS: [global_intercept, global_sigma, global_age_beta, subject_intercept_sigma, subject_age_sigma, subject_intercept, subject_age_beta]


Sampling 4 chains for 1_000 tune and 1_000 draw iterations (4_000 + 4_000 draws total) took 13 seconds.
Sampling: [outcome]


../_images/026f294cb58b2a4b6c7668daf03e1febc51a44fca380a8bcbd2c7a03714cf287.svg

The sigma terms (variance components) are likely the most important pieces of the model to understand. The global and subject specific sigma terms represent the sources of variation that we allow in our model. The global effects can be considered “fixed” over the population while the subject specific terms “random” draws from the same population.

az.summary(
    idata_m1,
    var_names=[
        "global_intercept",
        "global_sigma",
        "global_age_beta",
        "subject_intercept_sigma",
        "subject_age_sigma",
    ],
)
mean sd hdi_3% hdi_97% mcse_mean mcse_sd ess_bulk ess_tail r_hat
global_intercept 0.644 0.103 0.441 0.830 0.002 0.002 2100.0 2584.0 1.00
global_sigma 0.612 0.045 0.526 0.696 0.001 0.001 1293.0 2791.0 1.00
global_age_beta 0.271 0.062 0.158 0.389 0.001 0.001 4585.0 3257.0 1.00
subject_intercept_sigma 0.754 0.084 0.597 0.909 0.001 0.001 3178.0 3130.0 1.00
subject_age_sigma 0.347 0.069 0.217 0.477 0.003 0.002 694.0 1058.0 1.01

We can now derive the uncertainty in the implied model by using the posterior distribution. We plot the trajectories derived across all the subjects by taking the average parameter estimate across the ids. We’ll see below how we can instead focus on the within subject estimates when our focus is on the individual growth. Here our focus is on the generally implied trajectory of alcohol use in teens.

fig, ax = plt.subplots(figsize=(20, 8))
posterior = az.extract(idata_m1.posterior)
intercept_group_specific = posterior["subject_intercept"].mean(dim="ids")
slope_group_specific = posterior["subject_age_beta"].mean(dim="ids")
a = posterior["global_intercept"].mean() + intercept_group_specific
b = posterior["global_age_beta"].mean() + slope_group_specific
time_xi = xr.DataArray(np.arange(4))
ax.plot(time_xi, (a + b * time_xi).T, color="slateblue", alpha=0.2, linewidth=0.2)
ax.plot(
    time_xi, (a.mean() + b.mean() * time_xi), color="red", lw=2, label="Expected Growth Trajectory"
)
ax.set_ylabel("Alcohol Usage")
ax.set_xlabel("Time in Years from 14")
ax.legend()
ax.set_title("Individual Consumption Growth", fontsize=20);
../_images/43af8ba9f15d36a19263d73958a2e5c6cf3b89c032e2ae87430ea3e27c81578b.png

The Uncontrolled Effects of Parental Alcoholism#

Next we’ll add in a second predictor and the interaction of the predictor with age to modify the outcome. This extends the above model as follows:

\[\begin{split} \begin{aligned} & alcohol \sim Normal(\color{purple}{\mu, \sigma}) \\ & \color{purple}{\mu} = \color{red}{\alpha} + \color{green}{\beta_{age}} \cdot age + \color{blue}{\beta_{coa}} \cdot coa + \color{orange}{\beta_{coa*age}}(coa*age) \\ & \color{red}{\alpha} = \sum_{j=0}^{N} \alpha_{1} + \alpha_{2, j} \ \ \ \ \forall j \in Subjects \\ & \color{green}{\beta} = \sum_{j=0}^{N} \beta_{1} + \beta_{2, j} \ \ \ \ \forall j \in Subjects \\ & \color{purple}{\sigma} = HalfStudentT(?, ?) \\ & \alpha_{i, j} \sim Normal(?, ?) \\ & \beta_{i, j} \sim Normal(?, ?) \\ & \color{blue}{\beta_{coa}} \sim Normal(?, ?) \\ & \color{orange}{\beta_{coa*age}} \sim Normal(?,?) \end{aligned} \end{split}\]
id_indx, unique_ids = pd.factorize(df["id"])
coords = {"ids": unique_ids, "obs": range(len(df["alcuse"]))}
with pm.Model(coords=coords) as model:
    age_14 = pm.MutableData("age_14_data", df["age_14"].values)
    coa = pm.MutableData("coa_data", df["coa"].values)

    ## Level 1
    global_intercept = pm.Normal("global_intercept", 0, 1)
    global_sigma = pm.HalfStudentT("global_sigma", 1, 3)
    global_age_beta = pm.Normal("global_age_beta", 0, 1)
    global_coa_beta = pm.Normal("global_coa_beta", 0, 1)
    global_coa_age_beta = pm.Normal("global_coa_age_beta", 0, 1)

    subject_intercept_sigma = pm.HalfNormal("subject_intercept_sigma", 5)
    subject_age_sigma = pm.HalfNormal("subject_age_sigma", 5)

    ## Level 2
    subject_intercept = pm.Normal("subject_intercept", 0, subject_intercept_sigma, dims="ids")
    subject_age_beta = pm.Normal("subject_age_beta", 0, subject_age_sigma, dims="ids")

    growth_model = pm.Deterministic(
        "growth_model",
        (global_intercept + subject_intercept[id_indx])
        + global_coa_beta * coa
        + global_coa_age_beta * (coa * age_14)
        + (global_age_beta + subject_age_beta[id_indx]) * age_14,
    )
    outcome = pm.Normal(
        "outcome", growth_model, global_sigma, observed=df["alcuse"].values, dims="obs"
    )
    idata_m2 = pm.sample_prior_predictive()
    idata_m2.extend(
        pm.sample(random_seed=100, target_accept=0.95, idata_kwargs={"log_likelihood": True})
    )
    idata_m2.extend(pm.sample_posterior_predictive(idata_m2))

pm.model_to_graphviz(model)
/home/osvaldo/proyectos/00_BM/pymc-devs/pymc/pymc/data.py:304: FutureWarning: MutableData is deprecated. All Data variables are now mutable. Use Data instead.
  warnings.warn(
Sampling: [global_age_beta, global_coa_age_beta, global_coa_beta, global_intercept, global_sigma, outcome, subject_age_beta, subject_age_sigma, subject_intercept, subject_intercept_sigma]
Auto-assigning NUTS sampler...
Initializing NUTS using jitter+adapt_diag...
Multiprocess sampling (4 chains in 4 jobs)
NUTS: [global_intercept, global_sigma, global_age_beta, global_coa_beta, global_coa_age_beta, subject_intercept_sigma, subject_age_sigma, subject_intercept, subject_age_beta]


Sampling 4 chains for 1_000 tune and 1_000 draw iterations (4_000 + 4_000 draws total) took 16 seconds.
Sampling: [outcome]


../_images/47cbb4d0afc2fed7abe56cec504144923b190713872ad569d4d6e76e07c8219c.svg
az.summary(
    idata_m2,
    var_names=[
        "global_intercept",
        "global_sigma",
        "global_age_beta",
        "global_coa_age_beta",
        "subject_intercept_sigma",
        "subject_age_sigma",
    ],
    stat_focus="median",
)
median mad eti_3% eti_97% mcse_median ess_median ess_tail r_hat
global_intercept 0.320 0.087 0.088 0.565 0.004 2284.281 2552.0 1.00
global_sigma 0.613 0.030 0.537 0.705 0.002 1577.315 2186.0 1.01
global_age_beta 0.290 0.057 0.129 0.449 0.002 2820.643 2815.0 1.00
global_coa_age_beta -0.046 0.081 -0.268 0.182 0.003 2861.193 2935.0 1.00
subject_intercept_sigma 0.663 0.054 0.524 0.814 0.002 2662.958 2366.0 1.00
subject_age_sigma 0.351 0.045 0.215 0.469 0.002 1046.679 752.0 1.01

We can see here how the inclusion of the binary flag for the parental alcoholism does not significantly impact the growth trajectory of the child’s consumption, but it does shift the likely location of the intercept term.

fig, ax = plt.subplots(figsize=(20, 8))
posterior = az.extract(idata_m2.posterior)
intercept_group_specific = posterior["subject_intercept"].mean(dim="ids")
slope_group_specific = posterior["subject_age_beta"].mean(dim="ids")
a = posterior["global_intercept"].mean() + intercept_group_specific
b = posterior["global_age_beta"].mean() + slope_group_specific
b_coa = posterior["global_coa_beta"].mean()
b_coa_age = posterior["global_coa_age_beta"].mean()

time_xi = xr.DataArray(np.arange(4))
ax.plot(
    time_xi,
    (a + b * time_xi + b_coa * 1 + b_coa_age * (time_xi * 1)).T,
    color="slateblue",
    linewidth=0.2,
    alpha=0.2,
)
ax.plot(
    time_xi,
    (a + b * time_xi + b_coa * 0 + b_coa_age * (time_xi * 0)).T,
    color="magenta",
    linewidth=0.2,
    alpha=0.2,
)
ax.plot(
    time_xi,
    (a.mean() + b.mean() * time_xi + b_coa * 1 + b_coa_age * (time_xi * 1)),
    color="darkblue",
    lw=2,
    label="Expected Growth Trajectory: Child of Alcoholic",
)
ax.plot(
    time_xi,
    (a.mean() + b.mean() * time_xi + b_coa * 0 + b_coa_age * (time_xi * 0)),
    color="darkred",
    lw=2,
    label="Expected Growth Trajectory: Not Child of Alcoholic",
)
ax.set_ylabel("Alcohol Usage")
ax.set_xlabel("Time in Years from 14")
ax.legend()
ax.set_title("Individual Consumption Growth", fontsize=20);
../_images/0700df0faffc654f1b7e09f8b026b4749caa7ca885dae8cad1f190f558db8570.png

This is already suggestive of the manner in which hierarchical longitudinal models allow us to interrogate questions of policy and impact of causal interventions. The implications of a policy shift or a specific intervention in the implied growth trajectories can warrant dramatic investment decisions. However we’ll leave these remarks as suggestive because there is a rich and contentious literature of the use of causal inference with panel data designs. The differences-in-differences literature is rife with warnings about the conditions required to meaningfully interpret causal questions. See for instance Difference in differences for more discussion and references to the debate. One key point is that while the subject-level terms help account for one kind of hetereogeniety in the data, they cannot account for all sources of individual variation, especially variation which is time-dependent.

We’ll forge on for now ignoring the subtleties of causal inference, considering next how the inclusion of peer effects can alter the association implied by our model.

Model controlling for Peer Effects#

For interpretablility and to make life simpler for our sampler we’ll centre the peer data around their mean. Again this model is naturally specified using these controlling factors and their interaction terms with the focal variable of age.

\[\begin{split} \begin{aligned} & alcohol \sim Normal(\color{purple}{\mu, \sigma}) \\ & \color{purple}{\mu} = \color{red}{\alpha} + \color{green}{\beta_{age}} \cdot age + \color{blue}{\beta_{coa}} \cdot coa + \color{orange}{\beta_{coa*age}}(coa*age) + \color{pink}{\beta_{peer}}*peer + \color{lightblue}{\beta_{peer*age}}(peer*age) \\ & \color{red}{\alpha} = \sum_{j=0}^{N} \alpha_{1} + \alpha_{2, j} \ \ \ \ \forall j \in Subjects \\ & \color{green}{\beta} = \sum_{j=0}^{N} \beta_{1} + \beta_{2, j} \ \ \ \ \forall j \in Subjects \\ & \color{purple}{\sigma} = HalfStudentT(?, ?) \\ & \alpha_{i, j} \sim Normal(?, ?) \\ & \beta_{i, j} \sim Normal(?, ?) \\ & \color{blue}{\beta_{coa}} \sim Normal(?, ?) \\ & \color{orange}{\beta_{coa*age}} \sim Normal(?,?) \\ & \color{pink}{\beta_{peer}} \sim Normal(?, ?) \\ & \color{lightblue}{\beta_{peer*age}} \sim Normal(?, ?) \end{aligned} \end{split}\]
id_indx, unique_ids = pd.factorize(df["id"])
coords = {"ids": unique_ids, "obs": range(len(df["alcuse"]))}
with pm.Model(coords=coords) as model:
    age_14 = pm.MutableData("age_14_data", df["age_14"].values)
    coa = pm.MutableData("coa_data", df["coa"].values)
    peer = pm.MutableData("peer_data", df["cpeer"].values)

    ## Level 1
    global_intercept = pm.Normal("global_intercept", 0, 1)
    global_sigma = pm.HalfStudentT("global_sigma", 1, 3)
    global_age_beta = pm.Normal("global_age_beta", 0, 1)
    global_coa_beta = pm.Normal("global_coa_beta", 0, 1)
    global_peer_beta = pm.Normal("global_peer_beta", 0, 1)
    global_coa_age_beta = pm.Normal("global_coa_age_beta", 0, 1)
    global_peer_age_beta = pm.Normal("global_peer_age_beta", 0, 1)

    subject_intercept_sigma = pm.HalfNormal("subject_intercept_sigma", 5)
    subject_age_sigma = pm.HalfNormal("subject_age_sigma", 5)

    ## Level 2
    subject_intercept = pm.Normal("subject_intercept", 0, subject_intercept_sigma, dims="ids")
    subject_age_beta = pm.Normal("subject_age_beta", 0, subject_age_sigma, dims="ids")

    growth_model = pm.Deterministic(
        "growth_model",
        (global_intercept + subject_intercept[id_indx])
        + global_coa_beta * coa
        + global_coa_age_beta * (coa * age_14)
        + global_peer_beta * peer
        + global_peer_age_beta * (peer * age_14)
        + (global_age_beta + subject_age_beta[id_indx]) * age_14,
    )
    outcome = pm.Normal(
        "outcome", growth_model, global_sigma, observed=df["alcuse"].values, dims="obs"
    )
    idata_m3 = pm.sample_prior_predictive()
    idata_m3.extend(
        pm.sample(random_seed=100, target_accept=0.95, idata_kwargs={"log_likelihood": True})
    )
    idata_m3.extend(pm.sample_posterior_predictive(idata_m3))

pm.model_to_graphviz(model)
/home/osvaldo/proyectos/00_BM/pymc-devs/pymc/pymc/data.py:304: FutureWarning: MutableData is deprecated. All Data variables are now mutable. Use Data instead.
  warnings.warn(
Sampling: [global_age_beta, global_coa_age_beta, global_coa_beta, global_intercept, global_peer_age_beta, global_peer_beta, global_sigma, outcome, subject_age_beta, subject_age_sigma, subject_intercept, subject_intercept_sigma]
Auto-assigning NUTS sampler...
Initializing NUTS using jitter+adapt_diag...
Multiprocess sampling (4 chains in 4 jobs)
NUTS: [global_intercept, global_sigma, global_age_beta, global_coa_beta, global_peer_beta, global_coa_age_beta, global_peer_age_beta, subject_intercept_sigma, subject_age_sigma, subject_intercept, subject_age_beta]


Sampling 4 chains for 1_000 tune and 1_000 draw iterations (4_000 + 4_000 draws total) took 19 seconds.
Sampling: [outcome]


../_images/02339b0161813a1d741a543d97075e0860da13f692011803597e4f97a73554f1.svg
az.plot_trace(idata_m3);
../_images/0506fadc530bf7adfd2d4a7b2e2cfc90b18b4dee5c9b77d118b98185bb688dfb.png
az.summary(
    idata_m3,
    var_names=[
        "global_intercept",
        "global_sigma",
        "global_age_beta",
        "global_coa_age_beta",
        "global_peer_beta",
        "global_peer_age_beta",
        "subject_intercept_sigma",
        "subject_age_sigma",
    ],
)
mean sd hdi_3% hdi_97% mcse_mean mcse_sd ess_bulk ess_tail r_hat
global_intercept 0.395 0.112 0.177 0.601 0.002 0.002 2210.0 2599.0 1.0
global_sigma 0.595 0.042 0.522 0.676 0.001 0.001 1589.0 2884.0 1.0
global_age_beta 0.273 0.085 0.117 0.434 0.002 0.001 2382.0 2805.0 1.0
global_coa_age_beta -0.007 0.128 -0.245 0.225 0.003 0.002 2364.0 2734.0 1.0
global_peer_beta 0.683 0.114 0.483 0.904 0.002 0.001 3072.0 2872.0 1.0
global_peer_age_beta -0.146 0.090 -0.313 0.022 0.002 0.001 3080.0 2617.0 1.0
subject_intercept_sigma 0.500 0.077 0.356 0.647 0.002 0.002 1023.0 1231.0 1.0
subject_age_sigma 0.384 0.061 0.271 0.497 0.002 0.001 1080.0 1407.0 1.0

Next we’ll plot the prototypical trajectories of change for individuals conditional on their parental and peer relationships. Notice how the peer score in the data drives the intercept of the polynomial curve up the y-axis of the chart.

Hide code cell source
fig, axs = plt.subplots(2, 2, figsize=(20, 10), sharey=True)
axs = axs.flatten()
posterior = az.extract(idata_m3.posterior, num_samples=300)
intercept_group_specific = posterior["subject_intercept"].mean(dim="ids")
slope_group_specific = posterior["subject_age_beta"].mean(dim="ids")
a = posterior["global_intercept"].mean() + intercept_group_specific
b = posterior["global_age_beta"].mean() + slope_group_specific
b_coa = posterior["global_coa_beta"].mean()
b_coa_age = posterior["global_coa_age_beta"].mean()
b_peer = posterior["global_peer_beta"].mean()
b_peer_age = posterior["global_peer_age_beta"].mean()

time_xi = xr.DataArray(np.arange(4))
for q, i in zip([0.5, 0.75, 0.90, 0.99], [0, 1, 2, 3]):
    q_v = df["peer"].quantile(q)
    f1 = (
        a
        + b * time_xi
        + b_coa * 1
        + b_coa_age * (time_xi * 1)
        + b_peer * q_v
        + b_peer_age * (time_xi * q_v)
    ).T
    f2 = (
        a
        + b * time_xi
        + b_coa * 0
        + b_coa_age * (time_xi * 0)
        + b_peer * q_v
        + b_peer_age * (time_xi * q_v)
    ).T
    axs[i].plot(time_xi, f1, color="slateblue", alpha=0.2, linewidth=0.5)
    axs[i].plot(time_xi, f2, color="magenta", alpha=0.2, linewidth=0.5)
    axs[i].plot(
        time_xi,
        f2.mean(axis=1),
        color="darkred",
        label="Expected Growth Trajectory: Child of Alcoholic",
    )
    axs[i].plot(
        time_xi,
        f1.mean(axis=1),
        color="darkblue",
        label="Expected Growth Trajectory: Not Child of Alcoholic",
    )
    axs[i].set_ylabel("Alcohol Usage")
    axs[i].set_xlabel("Time in Years from 14")
    axs[i].legend()
    axs[i].set_title(f"Individual Consumption Growth \n moderated by Peer: {q_v}", fontsize=20);
../_images/9d44697026955ec88b798fa1b065eb1bd7f144d82c5c6046a116813572e33cef.png

Comparison of Model Estimates#

Finally, collating all our modelling efforts so far we can see how a number of things evident from the above plots:(i) the global slope parameter on the age term is quite stable across all three models in which it features. Similarly for the subject specific slope parameters on each of three individuals displayed. The global intercept parameters are pulled towards zero as we can offset more of the outcome effects into the influence of the parental and peer relationships. The global effect of parental alcoholism is broadly consistent across the models we fit.

However, a note of caution - interpreting hierarchical models of this kind can be difficult and the meaning of particular parameters can be skewed depending on the nature of model and scale of which the variables are measured. In this notebook we’ve focused on understanding the implied contrasts in the marginal effects induced in our posterior predictive trajectories, by different input values of our data. This is typically the cleanest way to understand what your model has learned about the growth trajectories in question.

az.plot_forest(
    [idata_m0, idata_m1, idata_m2, idata_m3],
    model_names=["Grand Mean", "Unconditional Growth", "COA growth Model", "COA_Peer_Model"],
    var_names=[
        "global_intercept",
        "global_age_beta",
        "global_coa_beta",
        "global_coa_age_beta",
        "global_peer_beta",
        "global_peer_age_beta",
        "subject_intercept_sigma",
        "subject_age_sigma",
        "subject_intercept",
        "subject_age_beta",
        "global_sigma",
    ],
    figsize=(20, 15),
    kind="ridgeplot",
    combined=True,
    ridgeplot_alpha=0.3,
    coords={"ids": [1, 2, 70]},
);
../_images/426ca83e3f0b1598fa3b09c57d1404808cefd7893a3ce90c4fb6bfe72aba56b6.png

For a numerical summary of the models Willett and Singer suggest using deviance statistics. In the Bayesian workflow we’ll use LOO.

compare = az.compare(
    {
        "Grand Mean": idata_m0,
        "Unconditional Growth": idata_m1,
        "COA growth Model": idata_m2,
        "COA_Peer_Model": idata_m3,
    },
)
compare
/home/osvaldo/proyectos/00_BM/arviz-devs/arviz/arviz/stats/stats.py:795: UserWarning: Estimated shape parameter of Pareto distribution is greater than 0.70 for one or more samples. You should consider using a more robust model, this is because importance sampling is less likely to work well if the marginal posterior and LOO posterior are very different. This is more likely to happen with a non-robust model and highly influential observations.
  warnings.warn(
/home/osvaldo/proyectos/00_BM/arviz-devs/arviz/arviz/stats/stats.py:795: UserWarning: Estimated shape parameter of Pareto distribution is greater than 0.70 for one or more samples. You should consider using a more robust model, this is because importance sampling is less likely to work well if the marginal posterior and LOO posterior are very different. This is more likely to happen with a non-robust model and highly influential observations.
  warnings.warn(
/home/osvaldo/proyectos/00_BM/arviz-devs/arviz/arviz/stats/stats.py:795: UserWarning: Estimated shape parameter of Pareto distribution is greater than 0.70 for one or more samples. You should consider using a more robust model, this is because importance sampling is less likely to work well if the marginal posterior and LOO posterior are very different. This is more likely to happen with a non-robust model and highly influential observations.
  warnings.warn(
/home/osvaldo/proyectos/00_BM/arviz-devs/arviz/arviz/stats/stats.py:795: UserWarning: Estimated shape parameter of Pareto distribution is greater than 0.70 for one or more samples. You should consider using a more robust model, this is because importance sampling is less likely to work well if the marginal posterior and LOO posterior are very different. This is more likely to happen with a non-robust model and highly influential observations.
  warnings.warn(
rank elpd_loo p_loo elpd_diff weight se dse warning scale
COA_Peer_Model 0 -280.547108 88.317101 0.000000 0.919592 12.286282 0.000000 True log
COA growth Model 1 -289.267096 89.708607 8.719988 0.000000 12.723690 4.226971 True log
Unconditional Growth 2 -289.776375 91.650347 9.229267 0.080408 12.808780 4.784305 True log
Grand Mean 3 -315.943445 58.611975 35.396337 0.000000 12.426100 8.431326 True log
az.plot_compare(compare, figsize=(10, 4));
../_images/26371d1234a5069fdd76455975e10be709414dd99c2fa7389e16baaa4162a0fc.png

Willett and Singer have a detailed discussion about how to analyse the differences between the models and assess the different sources of variation to derive a number of summary statistics about the relationships between the predictors and outcomes. We highly recommend it as a deep-dive for the interested reader.

Interlude: Hierarchical Models with Bambi#

While we’re fitting these models directly within PyMC there is an alternative bayesian multi-level modelling package, Bambi which is built on top of the PyMC framework. Bambi is optimised in a number of ways for fitting hierarchical Bayesian models including the option for specifying the model structure using formulas. We’ll demonstrate briefly how to fit the last model using this syntax.

The formula specification uses 1 to denote an intercept term and a conditional | operator to denote a subject level parameter combined with the global parameter of the same type in the manner specified above. We will add subject specific modifications of the intercept term and beta coefficient on the focal variable of age as in the models above. We do so using the syntax (1 + age_14 | id) in the formula syntax for Bambi.

formula = "alcuse ~ 1 + age_14 + coa + cpeer + age_14:coa + age_14:cpeer + (1 + age_14 | id)"
model = bmb.Model(formula, df)

# Fit the model using 1000 on each of 4 chains
idata_bambi = model.fit(draws=1000, chains=4)
model.predict(idata_bambi, kind="pps")
idata_bambi
Auto-assigning NUTS sampler...
Initializing NUTS using jitter+adapt_diag...
Multiprocess sampling (4 chains in 4 jobs)
NUTS: [sigma, Intercept, age_14, coa, cpeer, age_14:coa, age_14:cpeer, 1|id_sigma, 1|id_offset, age_14|id_sigma, age_14|id_offset]


Sampling 4 chains for 1_000 tune and 1_000 draw iterations (4_000 + 4_000 draws total) took 12 seconds.
/home/osvaldo/anaconda3/envs/pymc/lib/python3.11/site-packages/bambi/models.py:858: FutureWarning: 'pps' has been replaced by 'response' and is not going to work in the future
  warnings.warn(
arviz.InferenceData
    • <xarray.Dataset>
      Dimensions:          (chain: 4, draw: 1000, id__factor_dim: 82, __obs__: 246)
      Coordinates:
        * chain            (chain) int64 0 1 2 3
        * draw             (draw) int64 0 1 2 3 4 5 6 ... 993 994 995 996 997 998 999
        * id__factor_dim   (id__factor_dim) <U2 '1' '2' '3' '4' ... '80' '81' '82'
        * __obs__          (__obs__) int64 0 1 2 3 4 5 6 ... 240 241 242 243 244 245
      Data variables:
          1|id             (chain, draw, id__factor_dim) float64 0.5433 ... -0.2393
          1|id_sigma       (chain, draw) float64 0.4957 0.577 0.5026 ... 0.4642 0.4398
          Intercept        (chain, draw) float64 0.4438 0.3648 ... 0.4879 0.3531
          age_14           (chain, draw) float64 0.3028 0.3717 ... 0.2674 0.1804
          age_14:coa       (chain, draw) float64 0.0516 -0.03368 ... 0.04597 0.1363
          age_14:cpeer     (chain, draw) float64 -0.1768 -0.1898 ... -0.1679 -0.1466
          age_14|id        (chain, draw, id__factor_dim) float64 -0.05741 ... 0.04858
          age_14|id_sigma  (chain, draw) float64 0.4117 0.3575 ... 0.4522 0.3759
          coa              (chain, draw) float64 0.674 0.7293 0.6766 ... 0.5017 0.6076
          cpeer            (chain, draw) float64 0.8057 0.8209 ... 0.6051 0.6673
          sigma            (chain, draw) float64 0.5183 0.6357 ... 0.5916 0.6073
          mu               (chain, draw, __obs__) float64 1.86 2.113 ... 0.9535 1.011
      Attributes:
          created_at:                  2024-08-17T17:08:19.195670+00:00
          arviz_version:               0.20.0.dev0
          inference_library:           pymc
          inference_library_version:   5.16.2+20.g747fda319
          sampling_time:               11.552397727966309
          tuning_steps:                1000
          modeling_interface:          bambi
          modeling_interface_version:  0.14.0

    • <xarray.Dataset>
      Dimensions:  (chain: 4, draw: 1000, __obs__: 246)
      Coordinates:
        * chain    (chain) int64 0 1 2 3
        * draw     (draw) int64 0 1 2 3 4 5 6 7 8 ... 992 993 994 995 996 997 998 999
        * __obs__  (__obs__) int64 0 1 2 3 4 5 6 7 ... 238 239 240 241 242 243 244 245
      Data variables:
          alcuse   (chain, draw, __obs__) float64 1.217 2.066 2.677 ... 1.751 0.3636
      Attributes:
          modeling_interface:          bambi
          modeling_interface_version:  0.14.0

    • <xarray.Dataset>
      Dimensions:                (chain: 4, draw: 1000)
      Coordinates:
        * chain                  (chain) int64 0 1 2 3
        * draw                   (draw) int64 0 1 2 3 4 5 ... 994 995 996 997 998 999
      Data variables: (12/17)
          acceptance_rate        (chain, draw) float64 0.6227 0.6105 ... 0.9299 0.6517
          diverging              (chain, draw) bool False False False ... False False
          energy                 (chain, draw) float64 538.9 541.1 ... 553.3 541.8
          energy_error           (chain, draw) float64 0.4803 0.632 ... -0.7672 0.3856
          index_in_trajectory    (chain, draw) int64 -15 6 -6 -8 -7 10 ... 8 7 6 -11 7
          largest_eigval         (chain, draw) float64 nan nan nan nan ... nan nan nan
          ...                     ...
          process_time_diff      (chain, draw) float64 0.003959 0.004457 ... 0.003284
          reached_max_treedepth  (chain, draw) bool False False False ... False False
          smallest_eigval        (chain, draw) float64 nan nan nan nan ... nan nan nan
          step_size              (chain, draw) float64 0.3006 0.3006 ... 0.286 0.286
          step_size_bar          (chain, draw) float64 0.2747 0.2747 ... 0.2719 0.2719
          tree_depth             (chain, draw) int64 4 4 4 4 4 4 4 4 ... 4 4 4 4 4 4 4
      Attributes:
          created_at:                  2024-08-17T17:08:19.205959+00:00
          arviz_version:               0.20.0.dev0
          inference_library:           pymc
          inference_library_version:   5.16.2+20.g747fda319
          sampling_time:               11.552397727966309
          tuning_steps:                1000
          modeling_interface:          bambi
          modeling_interface_version:  0.14.0

    • <xarray.Dataset>
      Dimensions:  (__obs__: 246)
      Coordinates:
        * __obs__  (__obs__) int64 0 1 2 3 4 5 6 7 ... 238 239 240 241 242 243 244 245
      Data variables:
          alcuse   (__obs__) float64 1.732 2.0 2.0 0.0 0.0 ... 0.0 0.0 0.0 1.414 1.0
      Attributes:
          created_at:                  2024-08-17T17:08:19.209059+00:00
          arviz_version:               0.20.0.dev0
          inference_library:           pymc
          inference_library_version:   5.16.2+20.g747fda319
          modeling_interface:          bambi
          modeling_interface_version:  0.14.0

The model is nicely specified and details the structure of hierarchical and subject level parameters. By default the Bambi model assigns priors and uses a non-centred parameterisation. The Bambi model definition uses the language of common and group level effects as opposed to the global and subject distinction we have beeen using in this example so far. Again, the important point to stress is just the hierarchy of levels, not the names.

model
       Formula: alcuse ~ 1 + age_14 + coa + cpeer + age_14:coa + age_14:cpeer + (1 + age_14 | id)
        Family: gaussian
          Link: mu = identity
  Observations: 246
        Priors: 
    target = mu
        Common-level effects
            Intercept ~ Normal(mu: 0.922, sigma: 5.0974)
            age_14 ~ Normal(mu: 0.0, sigma: 3.2485)
            coa ~ Normal(mu: 0.0, sigma: 5.3302)
            cpeer ~ Normal(mu: 0.0, sigma: 3.6587)
            age_14:coa ~ Normal(mu: 0.0, sigma: 3.5816)
            age_14:cpeer ~ Normal(mu: 0.0, sigma: 2.834)
        
        Group-level effects
            1|id ~ Normal(mu: 0.0, sigma: HalfNormal(sigma: 5.0974))
            age_14|id ~ Normal(mu: 0.0, sigma: HalfNormal(sigma: 3.2485))
        
        Auxiliary parameters
            sigma ~ HalfStudentT(nu: 4.0, sigma: 1.0609)
------
* To see a plot of the priors call the .plot_priors() method.
* To see a summary or plot of the posterior pass the object returned by .fit() to az.summary() or az.plot_trace()

The model graph looks somewhat different too due to the use of offsets to achieve a non-centred parameterisation.

model.graph()
../_images/a54a8b4c7f97510284fc95396e0b8715508e244b59df6b78f5c0aa84f0113cfb.svg
az.summary(
    idata_bambi,
    var_names=[
        "Intercept",
        "age_14",
        "coa",
        "cpeer",
        "age_14:coa",
        "age_14:cpeer",
        "1|id_sigma",
        "age_14|id_sigma",
        "sigma",
    ],
)
mean sd hdi_3% hdi_97% mcse_mean mcse_sd ess_bulk ess_tail r_hat
Intercept 0.390 0.107 0.170 0.579 0.002 0.001 2855.0 3083.0 1.0
age_14 0.277 0.084 0.123 0.438 0.002 0.001 2283.0 2994.0 1.0
coa 0.581 0.162 0.268 0.873 0.003 0.002 2784.0 3038.0 1.0
cpeer 0.692 0.116 0.480 0.914 0.002 0.002 2959.0 3040.0 1.0
age_14:coa -0.013 0.123 -0.237 0.219 0.002 0.002 2441.0 2928.0 1.0
age_14:cpeer -0.150 0.087 -0.303 0.020 0.002 0.001 2890.0 3103.0 1.0
1|id_sigma 0.502 0.078 0.356 0.645 0.002 0.002 1315.0 2130.0 1.0
age_14|id_sigma 0.379 0.060 0.262 0.488 0.002 0.001 1244.0 1860.0 1.0
sigma 0.595 0.043 0.516 0.674 0.001 0.001 1124.0 2355.0 1.0
az.plot_forest(
    idata_bambi,
    var_names=[
        "Intercept",
        "age_14",
        "coa",
        "cpeer",
        "age_14:coa",
        "age_14:cpeer",
        "1|id_sigma",
        "age_14|id_sigma",
        "sigma",
    ],
    figsize=(20, 6),
    kind="ridgeplot",
    combined=True,
    ridgeplot_alpha=0.3,
);
../_images/0c7e65eaa5eb10e117e77377fde4d57a183b08b027d2bf85c001666a5c338e32.png

We can see here how the bambi model specification recovers the same parameterisation we derived with PyMC. In practice and in production you should use bambi when you can if you’re using a Bayesian hierarchical model. It is flexible for many use-cases and you should likely only need PyMC for highly customised models, where the flexibility of the model specification cannot be accomodated with the constraints of the formula syntax.

Non-Linear Change Trajectories#

Next we’ll look at a dataset where the individual trajectories show wild swings in behaviour across the individuals. The data reports a score per child of externalizing behaviors. This can measure a variety of behaviours including but not limited to: physical aggression, verbal bullying, relational aggression, defiance, theft, and vandalism. The higher on the scale the more external behaviours demonstrated by the child. The scale is bounded at 0 and has a maximum possible score of 68. Each individual child is measured for these behaviours in each grade of school.

try:
    df_external = pd.read_csv("../data/external_pp.csv")
except FileNotFoundError:
    df_external = pd.read_csv(pm.get_data("external_pp.csv"))

df_external.head()
ID EXTERNAL FEMALE TIME GRADE
0 1 50 0 0 1
1 1 57 0 1 2
2 1 51 0 2 3
3 1 48 0 3 4
4 1 43 0 4 5
fig, axs = plt.subplots(2, 4, figsize=(20, 8))
axs = axs.flatten()
for ax, id in zip(axs, range(9)[1:9]):
    temp = df_external[df_external["ID"] == id]
    ax.plot(temp["GRADE"], temp["EXTERNAL"], "o", color="black")
    z = lowess(temp["EXTERNAL"], temp["GRADE"], 1 / 2)
    ax.plot(z[:, 1], "--", color="black")
../_images/7b786a9ab38e0af9de5f80a19c3d1a2341177e0e9d7a79b2a896e8a3741cd5a3.png
fig, axs = plt.subplots(2, 3, figsize=(20, 6))
axs = axs.flatten()
for ax, g in zip(axs, [1, 2, 3, 4, 5, 6]):
    temp = df_external[df_external["GRADE"] == g]
    ax.hist(temp["EXTERNAL"], bins=10, ec="black", color="C0")
    ax.set_title(f"External Behaviour in Grade {g}")
../_images/774f8b825dac8a40476a0f9c251ba04f0eab21842802a37628f413616ec0e414.png

We can see that there is a strong skew in the dataset towards low external score. We’ll diverge from Willett and Singer’s presentation here and try and model this distribution as a Gumbel distribution with censoring. To do so we’ll get PyMC to find a prior with on the Gumbel distribution that makes good sense.

pz.maxent(pz.Gumbel(), lower=0, upper=68, mass=0.99);
../_images/b83a2a630dd5559b365bd0240ef39e752861286d42506065c527fce7cbd1ffba.png

A Minimal Model#

As before we’ll begin with a fairly minimal model, specifying a hierarchical model where each individual modifies the grand mean. We allow for a non-normal censored likelihood term.

id_indx, unique_ids = pd.factorize(df_external["ID"])
coords = {"ids": unique_ids, "obs": range(len(df_external["EXTERNAL"]))}
with pm.Model(coords=coords) as model:
    external = pm.MutableData("external_data", df_external["EXTERNAL"].values + 1e-25)
    global_intercept = pm.Normal("global_intercept", 6, 1)
    global_sigma = pm.HalfNormal("global_sigma", 7)

    subject_intercept_sigma = pm.HalfNormal("subject_intercept_sigma", 5)
    subject_intercept = pm.Normal("subject_intercept", 0, subject_intercept_sigma, dims="ids")
    mu = pm.Deterministic("mu", global_intercept + subject_intercept[id_indx])
    outcome_latent = pm.Gumbel.dist(mu, global_sigma)
    outcome = pm.Censored(
        "outcome", outcome_latent, lower=0, upper=68, observed=external, dims="obs"
    )
    idata_m4 = pm.sample_prior_predictive()
    idata_m4.extend(
        pm.sample(random_seed=100, target_accept=0.95, idata_kwargs={"log_likelihood": True})
    )
    idata_m4.extend(pm.sample_posterior_predictive(idata_m4))

pm.model_to_graphviz(model)
/home/osvaldo/proyectos/00_BM/pymc-devs/pymc/pymc/data.py:304: FutureWarning: MutableData is deprecated. All Data variables are now mutable. Use Data instead.
  warnings.warn(
Sampling: [global_intercept, global_sigma, outcome, subject_intercept, subject_intercept_sigma]
Auto-assigning NUTS sampler...
Initializing NUTS using jitter+adapt_diag...
Multiprocess sampling (4 chains in 4 jobs)
NUTS: [global_intercept, global_sigma, subject_intercept_sigma, subject_intercept]


Sampling 4 chains for 1_000 tune and 1_000 draw iterations (4_000 + 4_000 draws total) took 11 seconds.
Sampling: [outcome]


../_images/266253ece3e6a4798ce35fa0a337d359c66793a8b38da653ea4f6c9680998ee8.svg
az.summary(idata_m4, var_names=["global_intercept", "global_sigma", "subject_intercept_sigma"])
mean sd hdi_3% hdi_97% mcse_mean mcse_sd ess_bulk ess_tail r_hat
global_intercept 7.347 0.754 5.950 8.769 0.019 0.013 1612.0 2336.0 1.0
global_sigma 6.810 0.380 6.118 7.546 0.006 0.004 4726.0 2892.0 1.0
subject_intercept_sigma 6.802 0.895 5.158 8.459 0.016 0.011 3045.0 2681.0 1.0
az.plot_ppc(idata_m4, figsize=(20, 7))
<Axes: xlabel='outcome'>
../_images/c0dd81c2934d74167b239058dc8c95a3ea4723d0a3b3c2c7efcea52d7b812e4e.png
fig, ax = plt.subplots(figsize=(20, 7))
expected_individual_mean = idata_m4.posterior["subject_intercept"].mean(axis=1).values[0]

ax.bar(
    range(len(expected_individual_mean)),
    np.sort(expected_individual_mean),
    color="slateblue",
    ec="black",
)
ax.set_xlabel("Individual ID")
ax.set_ylabel("External Score")
ax.set_title("Distribution of Individual Modifications to the Grand Mean");
../_images/b274d39569b46a433531f7a533530bd8ee8d3b77eecc81f5f63076d1167f19a1.png

Behaviour over time#

We now model the evolution of the behaviours over time in a hierarchical fashion. We start with a simple hierarhical linear regression with a focal predictor of grade.

id_indx, unique_ids = pd.factorize(df_external["ID"])
coords = {"ids": unique_ids, "obs": range(len(df_external["EXTERNAL"]))}
with pm.Model(coords=coords) as model:
    grade = pm.MutableData("grade_data", df_external["GRADE"].values)
    external = pm.MutableData("external_data", df_external["EXTERNAL"].values + 1e-25)
    global_intercept = pm.Normal("global_intercept", 6, 1)
    global_sigma = pm.Normal("global_sigma", 7, 0.5)
    global_beta_grade = pm.Normal("global_beta_grade", 0, 1)

    subject_intercept_sigma = pm.HalfNormal("subject_intercept_sigma", 2)
    subject_intercept = pm.Normal("subject_intercept", 5, subject_intercept_sigma, dims="ids")

    subject_beta_grade_sigma = pm.HalfNormal("subject_beta_grade_sigma", 1)
    subject_beta_grade = pm.Normal("subject_beta_grade", 0, subject_beta_grade_sigma, dims="ids")
    mu = pm.Deterministic(
        "mu",
        global_intercept
        + subject_intercept[id_indx]
        + (global_beta_grade + subject_beta_grade[id_indx]) * grade,
    )
    outcome_latent = pm.Gumbel.dist(mu, global_sigma)
    outcome = pm.Censored(
        "outcome", outcome_latent, lower=0, upper=68, observed=external, dims="obs"
    )
    idata_m5 = pm.sample_prior_predictive()
    idata_m5.extend(
        pm.sample(random_seed=100, target_accept=0.95, idata_kwargs={"log_likelihood": True})
    )
    idata_m5.extend(pm.sample_posterior_predictive(idata_m5))

pm.model_to_graphviz(model)
/home/osvaldo/proyectos/00_BM/pymc-devs/pymc/pymc/data.py:304: FutureWarning: MutableData is deprecated. All Data variables are now mutable. Use Data instead.
  warnings.warn(
Sampling: [global_beta_grade, global_intercept, global_sigma, outcome, subject_beta_grade, subject_beta_grade_sigma, subject_intercept, subject_intercept_sigma]
Auto-assigning NUTS sampler...
Initializing NUTS using jitter+adapt_diag...
Multiprocess sampling (4 chains in 4 jobs)
NUTS: [global_intercept, global_sigma, global_beta_grade, subject_intercept_sigma, subject_intercept, subject_beta_grade_sigma, subject_beta_grade]


Sampling 4 chains for 1_000 tune and 1_000 draw iterations (4_000 + 4_000 draws total) took 33 seconds.
There were 60 divergences after tuning. Increase `target_accept` or reparameterize.
The rhat statistic is larger than 1.01 for some parameters. This indicates problems during sampling. See https://arxiv.org/abs/1903.08008 for details
The effective sample size per chain is smaller than 100 for some parameters.  A higher number is needed for reliable rhat and ess computation. See https://arxiv.org/abs/1903.08008 for details
Sampling: [outcome]


../_images/1236aba3394381ff5d6f960e546c78465402df9369227bd94a145be2238beab5.svg
az.summary(
    idata_m5,
    var_names=[
        "global_intercept",
        "global_sigma",
        "global_beta_grade",
        "subject_intercept_sigma",
        "subject_beta_grade_sigma",
    ],
)
mean sd hdi_3% hdi_97% mcse_mean mcse_sd ess_bulk ess_tail r_hat
global_intercept 5.246 0.746 3.952 6.829 0.078 0.061 143.0 2169.0 1.09
global_sigma 6.875 0.279 6.343 7.456 0.004 0.003 3986.0 1885.0 1.39
global_beta_grade -0.262 0.242 -0.673 0.253 0.028 0.020 99.0 1903.0 1.07
subject_intercept_sigma 5.320 0.887 3.416 6.789 0.133 0.095 55.0 976.0 1.06
subject_beta_grade_sigma 0.625 0.444 0.019 1.266 0.166 0.123 8.0 5.0 1.49

We can now examine the posterior predictive plot for our model. The outcomes seem to make a reasonable fit to the data.

az.plot_ppc(idata_m5, figsize=(20, 7));
../_images/b3441c3af594e0bfc255e0a863bd017c00d4acb10af58c953d44d4aa4c925027.png

But we want to see individual model fits for each person. Here we plot the expected trajectories.

Hide code cell source
fig, ax = plt.subplots(figsize=(20, 7))
posterior = az.extract(idata_m5.posterior)
intercept_group_specific = posterior["subject_intercept"].mean("sample")
slope_group_specific = posterior["subject_beta_grade"].mean("sample")
a = posterior["global_intercept"].mean() + intercept_group_specific
b = posterior["global_beta_grade"].mean() + slope_group_specific

time_xi = xr.DataArray(np.arange(6))
ax.plot(time_xi, (a + b * time_xi).T, color="slateblue", alpha=0.6)
ax.plot(
    time_xi, (a.mean() + b.mean() * time_xi), color="red", lw=2, label="Expected Growth Trajectory"
)
ax.set_ylabel("Externalised Behaviour Score")
ax.set_xlabel("Time in Grade")
ax.legend()
ax.set_title("Within Individual Typical Trajctories", fontsize=20);
../_images/c06e40a07c332b66f73879045a52af1ef23f7da84111efddf2a62dc927bee613.png

We can see here how the model is constrained to apply a very linear fit to the behavioural trajectories. The immediate impression is of a relatively stable behaviourial pattern for each individual. But this is artefact of the model’s inability to express the curvature of the behaviourial data. Nevertheless we can see the individual variation forces the intercept terms to range between 5 and 25 on the scale.

Adding in Polynomial Time#

To give the model more flexibility to model change over time we can add in polynomial terms.

id_indx, unique_ids = pd.factorize(df_external["ID"])
coords = {"ids": unique_ids, "obs": range(len(df_external["EXTERNAL"]))}
with pm.Model(coords=coords) as model:
    grade = pm.MutableData("grade_data", df_external["GRADE"].values)
    grade2 = pm.MutableData("grade2_data", df_external["GRADE"].values ** 2)
    external = pm.MutableData("external_data", df_external["EXTERNAL"].values + 1e-25)

    global_intercept = pm.Normal("global_intercept", 6, 2)
    global_sigma = pm.Normal("global_sigma", 7, 1)
    global_beta_grade = pm.Normal("global_beta_grade", 0, 1)
    global_beta_grade2 = pm.Normal("global_beta_grade2", 0, 1)

    subject_intercept_sigma = pm.HalfNormal("subject_intercept_sigma", 1)
    subject_intercept = pm.Normal("subject_intercept", 2, subject_intercept_sigma, dims="ids")

    subject_beta_grade_sigma = pm.HalfNormal("subject_beta_grade_sigma", 1)
    subject_beta_grade = pm.Normal("subject_beta_grade", 0, subject_beta_grade_sigma, dims="ids")

    subject_beta_grade2_sigma = pm.HalfNormal("subject_beta_grade2_sigma", 1)
    subject_beta_grade2 = pm.Normal("subject_beta_grade2", 0, subject_beta_grade2_sigma, dims="ids")

    mu = pm.Deterministic(
        "mu",
        global_intercept
        + subject_intercept[id_indx]
        + (global_beta_grade + subject_beta_grade[id_indx]) * grade
        + (global_beta_grade2 + subject_beta_grade2[id_indx]) * grade2,
    )
    outcome_latent = pm.Gumbel.dist(mu, global_sigma)
    outcome = pm.Censored(
        "outcome", outcome_latent, lower=0, upper=68, observed=external, dims="obs"
    )
    idata_m6 = pm.sample_prior_predictive()
    idata_m6.extend(
        pm.sample(random_seed=100, target_accept=0.95, idata_kwargs={"log_likelihood": True})
    )
    idata_m6.extend(pm.sample_posterior_predictive(idata_m6))

pm.model_to_graphviz(model)
/home/osvaldo/proyectos/00_BM/pymc-devs/pymc/pymc/data.py:304: FutureWarning: MutableData is deprecated. All Data variables are now mutable. Use Data instead.
  warnings.warn(
Sampling: [global_beta_grade, global_beta_grade2, global_intercept, global_sigma, outcome, subject_beta_grade, subject_beta_grade2, subject_beta_grade2_sigma, subject_beta_grade_sigma, subject_intercept, subject_intercept_sigma]
Auto-assigning NUTS sampler...
Initializing NUTS using jitter+adapt_diag...
Multiprocess sampling (4 chains in 4 jobs)
NUTS: [global_intercept, global_sigma, global_beta_grade, global_beta_grade2, subject_intercept_sigma, subject_intercept, subject_beta_grade_sigma, subject_beta_grade, subject_beta_grade2_sigma, subject_beta_grade2]


Sampling 4 chains for 1_000 tune and 1_000 draw iterations (4_000 + 4_000 draws total) took 79 seconds.
There were 849 divergences after tuning. Increase `target_accept` or reparameterize.
The rhat statistic is larger than 1.01 for some parameters. This indicates problems during sampling. See https://arxiv.org/abs/1903.08008 for details
The effective sample size per chain is smaller than 100 for some parameters.  A higher number is needed for reliable rhat and ess computation. See https://arxiv.org/abs/1903.08008 for details
Sampling: [outcome]


../_images/c568131c2809c162f9080648c86a1d0c4a1acf13dec3b2e3a326023b1afe8a14.svg
az.summary(
    idata_m6,
    var_names=[
        "global_intercept",
        "global_sigma",
        "global_beta_grade",
        "global_beta_grade2",
        "subject_intercept_sigma",
        "subject_beta_grade_sigma",
        "subject_beta_grade2_sigma",
    ],
)
mean sd hdi_3% hdi_97% mcse_mean mcse_sd ess_bulk ess_tail r_hat
global_intercept 6.160 1.136 4.591 8.464 0.306 0.221 16.0 1359.0 1.17
global_sigma 6.978 0.333 6.329 7.650 0.013 0.010 809.0 1315.0 1.53
global_beta_grade -0.117 0.591 -1.328 0.958 0.040 0.065 590.0 1156.0 1.53
global_beta_grade2 0.071 0.093 -0.118 0.246 0.006 0.004 445.0 1403.0 1.53
subject_intercept_sigma 1.174 1.173 0.010 3.273 0.424 0.312 6.0 4.0 1.79
subject_beta_grade_sigma 1.337 0.293 0.745 1.731 0.083 0.063 13.0 393.0 1.22
subject_beta_grade2_sigma 0.081 0.076 0.001 0.212 0.027 0.020 6.0 4.0 1.67
az.plot_ppc(idata_m6, figsize=(20, 7));
../_images/8e736ef5a0d3fd1a5753c919c77181619f3dbe3a5a0300d6faac2f804660daa8.png
Hide code cell source
fig, ax = plt.subplots(figsize=(20, 7))
posterior = az.extract(idata_m6.posterior)
intercept_group_specific = posterior["subject_intercept"].mean("sample")
slope_group_specific = posterior["subject_beta_grade"].mean("sample")
slope_group_specific_2 = posterior["subject_beta_grade2"].mean("sample")
a = posterior["global_intercept"].mean() + intercept_group_specific
b = posterior["global_beta_grade"].mean() + slope_group_specific
c = posterior["global_beta_grade2"].mean() + slope_group_specific_2

time_xi = xr.DataArray(np.arange(7))
ax.plot(time_xi, (a + b * time_xi + c * (time_xi**2)).T, color="slateblue", alpha=0.6)
ax.plot(
    time_xi,
    (a.mean() + b.mean() * time_xi + c.mean() * (time_xi**2)),
    color="red",
    lw=2,
    label="Expected Growth Trajectory",
)
ax.set_ylabel("Externalalising Behaviour Score")
ax.set_xlabel("Time in Grade")
ax.legend()
ax.set_title("Within Individual Typical Trajctories", fontsize=20);
../_images/de90840743bd65bbc1fb42d0e035e795a97da0bd38e84a3afde09646304d0be8.png

Granting the model more flexibility allows it to ascribe more nuanced growth trajectories.

Comparing Trajectories across Gender#

We’ll now allow the model greater flexibility and pull in the gender of the subject to analyse whether and to what degree the gender of the teenager influences their behaviorial changes.

id_indx, unique_ids = pd.factorize(df_external["ID"])
coords = {"ids": unique_ids, "obs": range(len(df_external["EXTERNAL"]))}
with pm.Model(coords=coords) as model:
    grade = pm.MutableData("grade_data", df_external["GRADE"].values)
    grade2 = pm.MutableData("grade2_data", df_external["GRADE"].values ** 2)
    grade3 = pm.MutableData("grade3_data", df_external["GRADE"].values ** 3)
    external = pm.MutableData("external_data", df_external["EXTERNAL"].values + 1e-25)
    female = pm.MutableData("female_data", df_external["FEMALE"].values)

    global_intercept = pm.Normal("global_intercept", 6, 2)
    global_sigma = pm.Normal("global_sigma", 7, 1)
    global_beta_grade = pm.Normal("global_beta_grade", 0, 1)
    global_beta_grade2 = pm.Normal("global_beta_grade2", 0, 1)
    global_beta_grade3 = pm.Normal("global_beta_grade3", 0, 1)
    global_beta_female = pm.Normal("global_beta_female", 0, 1)
    global_beta_female_grade = pm.Normal("global_beta_female_grade", 0, 1)
    global_beta_female_grade2 = pm.Normal("global_beta_female_grade2", 0, 1)
    global_beta_female_grade3 = pm.Normal("global_beta_female_grade3", 0, 1)

    subject_intercept_sigma = pm.Exponential("subject_intercept_sigma", 1)
    subject_intercept = pm.Normal("subject_intercept", 3, subject_intercept_sigma, dims="ids")

    subject_beta_grade_sigma = pm.Exponential("subject_beta_grade_sigma", 1)
    subject_beta_grade = pm.Normal("subject_beta_grade", 0, subject_beta_grade_sigma, dims="ids")

    subject_beta_grade2_sigma = pm.Exponential("subject_beta_grade2_sigma", 1)
    subject_beta_grade2 = pm.Normal("subject_beta_grade2", 0, subject_beta_grade2_sigma, dims="ids")

    subject_beta_grade3_sigma = pm.Exponential("subject_beta_grade3_sigma", 1)
    subject_beta_grade3 = pm.Normal("subject_beta_grade3", 0, subject_beta_grade3_sigma, dims="ids")

    mu = pm.Deterministic(
        "growth_model",
        global_intercept
        + subject_intercept[id_indx]
        + global_beta_female * female
        + global_beta_female_grade * (female * grade)
        + global_beta_female_grade2 * (female * grade2)
        + global_beta_female_grade3 * (female * grade3)
        + (global_beta_grade + subject_beta_grade[id_indx]) * grade
        + (global_beta_grade2 + subject_beta_grade2[id_indx]) * grade2
        + (global_beta_grade3 + subject_beta_grade3[id_indx]) * grade3,
    )

    outcome_latent = pm.Gumbel.dist(mu, global_sigma)
    outcome = pm.Censored(
        "outcome", outcome_latent, lower=0, upper=68, observed=external, dims="obs"
    )

    idata_m7 = pm.sample_prior_predictive()
    idata_m7.extend(
        pm.sample(
            draws=5000,
            random_seed=100,
            target_accept=0.99,
            nuts_sampler="numpyro",
            idata_kwargs={"log_likelihood": True},
        )
    )
    idata_m7.extend(pm.sample_posterior_predictive(idata_m7))
Hide code cell output
/home/osvaldo/proyectos/00_BM/pymc-devs/pymc/pymc/data.py:304: FutureWarning: MutableData is deprecated. All Data variables are now mutable. Use Data instead.
  warnings.warn(
Sampling: [global_beta_female, global_beta_female_grade, global_beta_female_grade2, global_beta_female_grade3, global_beta_grade, global_beta_grade2, global_beta_grade3, global_intercept, global_sigma, outcome, subject_beta_grade, subject_beta_grade2, subject_beta_grade2_sigma, subject_beta_grade3, subject_beta_grade3_sigma, subject_beta_grade_sigma, subject_intercept, subject_intercept_sigma]
2024-08-17 14:12:54.209555: E external/xla/xla/service/slow_operation_alarm.cc:65] Constant folding an instruction is taking > 1s:

  %reduce.1 = f64[4,5000,254]{2,1,0} reduce(f64[4,5000,1,254]{3,2,1,0} %broadcast.80, f64[] %constant.25), dimensions={2}, to_apply=%region_2.83, metadata={op_name="jit(process_fn)/jit(main)/reduce_prod[axes=(2,)]" source_file="/tmp/tmp42m6glc9" source_line=43}

This isn't necessarily a bug; constant-folding is inherently a trade-off between compilation time and speed at runtime. XLA has some guards that attempt to keep constant folding from taking too long, but fundamentally you'll always be able to come up with an input program that takes a long time.

If you'd like to file a bug, run with envvar XLA_FLAGS=--xla_dump_to=/tmp/foo and attach the results.
2024-08-17 14:12:55.884724: E external/xla/xla/service/slow_operation_alarm.cc:133] The operation took 2.675309039s
Constant folding an instruction is taking > 1s:

  %reduce.1 = f64[4,5000,254]{2,1,0} reduce(f64[4,5000,1,254]{3,2,1,0} %broadcast.80, f64[] %constant.25), dimensions={2}, to_apply=%region_2.83, metadata={op_name="jit(process_fn)/jit(main)/reduce_prod[axes=(2,)]" source_file="/tmp/tmp42m6glc9" source_line=43}

This isn't necessarily a bug; constant-folding is inherently a trade-off between compilation time and speed at runtime. XLA has some guards that attempt to keep constant folding from taking too long, but fundamentally you'll always be able to come up with an input program that takes a long time.

If you'd like to file a bug, run with envvar XLA_FLAGS=--xla_dump_to=/tmp/foo and attach the results.
2024-08-17 14:12:57.889074: E external/xla/xla/service/slow_operation_alarm.cc:65] Constant folding an instruction is taking > 2s:

  %reduce.2 = f64[4,5000,254]{2,1,0} reduce(f64[4,5000,1,254]{3,2,1,0} %broadcast.81, f64[] %constant.25), dimensions={2}, to_apply=%region_2.83, metadata={op_name="jit(process_fn)/jit(main)/reduce_prod[axes=(2,)]" source_file="/tmp/tmp42m6glc9" source_line=43}

This isn't necessarily a bug; constant-folding is inherently a trade-off between compilation time and speed at runtime. XLA has some guards that attempt to keep constant folding from taking too long, but fundamentally you'll always be able to come up with an input program that takes a long time.

If you'd like to file a bug, run with envvar XLA_FLAGS=--xla_dump_to=/tmp/foo and attach the results.
2024-08-17 14:12:59.534352: E external/xla/xla/service/slow_operation_alarm.cc:133] The operation took 3.645368623s
Constant folding an instruction is taking > 2s:

  %reduce.2 = f64[4,5000,254]{2,1,0} reduce(f64[4,5000,1,254]{3,2,1,0} %broadcast.81, f64[] %constant.25), dimensions={2}, to_apply=%region_2.83, metadata={op_name="jit(process_fn)/jit(main)/reduce_prod[axes=(2,)]" source_file="/tmp/tmp42m6glc9" source_line=43}

This isn't necessarily a bug; constant-folding is inherently a trade-off between compilation time and speed at runtime. XLA has some guards that attempt to keep constant folding from taking too long, but fundamentally you'll always be able to come up with an input program that takes a long time.

If you'd like to file a bug, run with envvar XLA_FLAGS=--xla_dump_to=/tmp/foo and attach the results.
2024-08-17 14:13:33.840528: E external/xla/xla/service/slow_operation_alarm.cc:65] Constant folding an instruction is taking > 4s:

  %reduce.7 = f64[4,5000,254]{2,1,0} reduce(f64[4,5000,1,254]{3,2,1,0} %broadcast.65, f64[] %constant.28), dimensions={2}, to_apply=%region_0.68, metadata={op_name="jit(process_fn)/jit(main)/reduce_prod[axes=(2,)]" source_file="/tmp/tmppjx6pjej" source_line=37}

This isn't necessarily a bug; constant-folding is inherently a trade-off between compilation time and speed at runtime. XLA has some guards that attempt to keep constant folding from taking too long, but fundamentally you'll always be able to come up with an input program that takes a long time.

If you'd like to file a bug, run with envvar XLA_FLAGS=--xla_dump_to=/tmp/foo and attach the results.
2024-08-17 14:13:33.945988: E external/xla/xla/service/slow_operation_alarm.cc:133] The operation took 4.109097056s
Constant folding an instruction is taking > 4s:

  %reduce.7 = f64[4,5000,254]{2,1,0} reduce(f64[4,5000,1,254]{3,2,1,0} %broadcast.65, f64[] %constant.28), dimensions={2}, to_apply=%region_0.68, metadata={op_name="jit(process_fn)/jit(main)/reduce_prod[axes=(2,)]" source_file="/tmp/tmppjx6pjej" source_line=37}

This isn't necessarily a bug; constant-folding is inherently a trade-off between compilation time and speed at runtime. XLA has some guards that attempt to keep constant folding from taking too long, but fundamentally you'll always be able to come up with an input program that takes a long time.

If you'd like to file a bug, run with envvar XLA_FLAGS=--xla_dump_to=/tmp/foo and attach the results.
There were 7 divergences after tuning. Increase `target_accept` or reparameterize.
The rhat statistic is larger than 1.01 for some parameters. This indicates problems during sampling. See https://arxiv.org/abs/1903.08008 for details
The effective sample size per chain is smaller than 100 for some parameters.  A higher number is needed for reliable rhat and ess computation. See https://arxiv.org/abs/1903.08008 for details
Sampling: [outcome]


pm.model_to_graphviz(model)
../_images/800eabc85d015a35598969eef66846e9a8bb29d85e1b787afd680ee1f5935903.svg
az.plot_trace(idata_m7);
../_images/e39584e608253ef660ec5aa413f0074dcd4463bb7f83ee2eb3b63e0cb51c9ef6.png
az.summary(
    idata_m7,
    var_names=[
        "global_intercept",
        "global_sigma",
        "global_beta_grade",
        "global_beta_grade2",
        "subject_intercept_sigma",
        "subject_beta_grade_sigma",
        "subject_beta_grade2_sigma",
        "subject_beta_grade3_sigma",
        "global_beta_female",
        "global_beta_female_grade",
        "global_beta_female_grade2",
        "global_beta_female_grade3",
    ],
)
mean sd hdi_3% hdi_97% mcse_mean mcse_sd ess_bulk ess_tail r_hat
global_intercept 6.557 1.297 4.027 8.916 0.016 0.011 6847.0 10276.0 1.00
global_sigma 6.633 0.408 5.871 7.393 0.010 0.007 1777.0 8061.0 1.00
global_beta_grade 0.009 0.878 -1.577 1.735 0.011 0.008 6155.0 9098.0 1.00
global_beta_grade2 -0.139 0.390 -0.840 0.621 0.006 0.004 4503.0 7911.0 1.00
subject_intercept_sigma 5.786 1.239 3.392 8.144 0.054 0.038 573.0 550.0 1.01
subject_beta_grade_sigma 0.552 0.379 0.003 1.218 0.047 0.033 50.0 166.0 1.07
subject_beta_grade2_sigma 0.098 0.072 0.001 0.220 0.009 0.006 60.0 171.0 1.07
subject_beta_grade3_sigma 0.019 0.013 0.000 0.042 0.001 0.001 131.0 111.0 1.05
global_beta_female -0.212 0.940 -1.968 1.573 0.009 0.007 9904.0 10717.0 1.00
global_beta_female_grade -0.132 0.898 -1.804 1.565 0.010 0.007 7308.0 10362.0 1.00
global_beta_female_grade2 0.020 0.495 -0.903 0.958 0.007 0.005 4831.0 7979.0 1.00
global_beta_female_grade3 -0.008 0.071 -0.141 0.124 0.001 0.001 4882.0 8440.0 1.00
az.plot_ppc(idata_m7, figsize=(20, 7));
../_images/6c5061d9c6b954dd364e1c1c3ddbcaa8218129fc57e1607f34aa7afa179a1119.png

Comparing Models#

As above we’ll compare the various models for parameter fits and model performance measures using LOO.

az.plot_forest(
    [idata_m4, idata_m5, idata_m6, idata_m7],
    model_names=["Minimal Model", "Linear Model", "Polynomial Model", "Polynomial + Gender"],
    var_names=[
        "global_intercept",
        "global_sigma",
        "global_beta_grade",
        "global_beta_grade2",
        "subject_intercept_sigma",
        "subject_beta_grade_sigma",
        "subject_beta_grade2_sigma",
        "subject_beta_grade3_sigma",
        "global_beta_female",
        "global_beta_female_grade",
        "global_beta_female_grade2",
        "global_beta_female_grade3",
    ],
    figsize=(20, 15),
    kind="ridgeplot",
    combined=True,
    coords={"ids": [1, 2, 30]},
    ridgeplot_alpha=0.3,
);
../_images/ba462da37a72e2f9419163edd315546ac4edf4d5e26a2723645c892e9a58b63b.png
compare = az.compare(
    {
        "Minimal Model": idata_m4,
        "Linear Model": idata_m5,
        "Polynomial Model": idata_m6,
        "Polynomial + Gender": idata_m7,
    },
)
compare
/home/osvaldo/proyectos/00_BM/arviz-devs/arviz/arviz/stats/stats.py:795: UserWarning: Estimated shape parameter of Pareto distribution is greater than 0.70 for one or more samples. You should consider using a more robust model, this is because importance sampling is less likely to work well if the marginal posterior and LOO posterior are very different. This is more likely to happen with a non-robust model and highly influential observations.
  warnings.warn(
/home/osvaldo/proyectos/00_BM/arviz-devs/arviz/arviz/stats/stats.py:795: UserWarning: Estimated shape parameter of Pareto distribution is greater than 0.70 for one or more samples. You should consider using a more robust model, this is because importance sampling is less likely to work well if the marginal posterior and LOO posterior are very different. This is more likely to happen with a non-robust model and highly influential observations.
  warnings.warn(
/home/osvaldo/proyectos/00_BM/arviz-devs/arviz/arviz/stats/stats.py:795: UserWarning: Estimated shape parameter of Pareto distribution is greater than 0.70 for one or more samples. You should consider using a more robust model, this is because importance sampling is less likely to work well if the marginal posterior and LOO posterior are very different. This is more likely to happen with a non-robust model and highly influential observations.
  warnings.warn(
/home/osvaldo/proyectos/00_BM/arviz-devs/arviz/arviz/stats/stats.py:795: UserWarning: Estimated shape parameter of Pareto distribution is greater than 0.70 for one or more samples. You should consider using a more robust model, this is because importance sampling is less likely to work well if the marginal posterior and LOO posterior are very different. This is more likely to happen with a non-robust model and highly influential observations.
  warnings.warn(
rank elpd_loo p_loo elpd_diff weight se dse warning scale
Linear Model 0 -913.492285 32.270139 0.000000 8.146420e-01 13.556027 0.000000 True log
Polynomial + Gender 1 -915.895242 49.043791 2.402957 8.394507e-16 13.449388 2.597256 True log
Minimal Model 2 -917.384833 33.632784 3.892548 7.475052e-16 13.823280 2.375968 True log
Polynomial Model 3 -921.859743 27.035846 8.367458 1.853580e-01 14.762473 5.305436 True log
az.plot_compare(compare, figsize=(10, 4));
../_images/ae81801edef14035bf511cbc2c1f20cacddc23614205a675968e40a39628b65a.png

As perhaps expected our final gender based model is deemed to be best according the WAIC ranking. But somewhat suprisingly the Linear model with fixed trajectories is not far behind.

Plotting the Final Model#

We want to show the model fits for a number of individuals and the more generally implied trajectory across the population.

Hide code cell source
def plot_individual(posterior, individual, female, ax):
    posterior = posterior.sel(ids=individual)
    time_xi = xr.DataArray(np.arange(7))
    i = posterior["global_intercept"].mean() + posterior["subject_intercept"]
    a = (posterior["global_beta_grade"].mean() + posterior["subject_beta_grade"]) * time_xi
    b = (posterior["global_beta_grade2"].mean() + posterior["subject_beta_grade2"]) * time_xi**2
    c = (posterior["global_beta_grade3"].mean() + posterior["subject_beta_grade3"]) * time_xi**3
    d = posterior["global_beta_female"].mean() * female + posterior["global_beta_female_grade"] * (
        time_xi * female
    )
    fit = i + a + b + c + d
    if female:
        color = "cyan"
    else:
        color = "slateblue"
    for i in range(len(fit)):
        ax.plot(time_xi, fit[i], color=color, alpha=0.1, linewidth=0.2)
    ax.plot(time_xi, fit.mean(axis=0), color="magenta")


mosaic = """BCDE
            AAAA
            FGHI"""
fig, axs = plt.subplot_mosaic(mosaic=mosaic, figsize=(20, 15))
axs = [axs[k] for k in axs.keys()]
posterior = az.extract(idata_m7.posterior, num_samples=4000)
intercept_group_specific = posterior["subject_intercept"].mean("ids")
slope_group_specific = posterior["subject_beta_grade"].mean("ids")
slope_group_specific_2 = posterior["subject_beta_grade2"].mean("ids")
slope_group_specific_3 = posterior["subject_beta_grade3"].mean("ids")
a = posterior["global_intercept"].mean() + intercept_group_specific
b = posterior["global_beta_grade"].mean() + slope_group_specific
c = posterior["global_beta_grade2"].mean() + slope_group_specific_2
d = posterior["global_beta_grade3"].mean() + slope_group_specific_3
e = posterior["global_beta_female"].mean()
f = posterior["global_beta_female_grade"].mean()

time_xi = xr.DataArray(np.arange(7))

axs[4].plot(
    time_xi,
    (a + b * time_xi + c * (time_xi**2) + d * (time_xi**3) + e * 1 + f * (1 * time_xi)).T,
    color="cyan",
    linewidth=2,
    alpha=0.1,
)
axs[4].plot(
    time_xi,
    (a + b * time_xi + c * (time_xi**2) + d * (time_xi**3) + e * 0 + f * (0 * time_xi)).T,
    color="slateblue",
    alpha=0.1,
    linewidth=2,
)
axs[4].plot(
    time_xi,
    (
        a.mean()
        + b.mean() * time_xi
        + c.mean() * (time_xi**2)
        + d.mean() * (time_xi**3)
        + e * 0
        + f * (0 * time_xi)
    ),
    color="red",
    lw=2,
    label="Expected Growth Trajectory - Male",
)

axs[4].plot(
    time_xi,
    (
        a.mean()
        + b.mean() * time_xi
        + c.mean() * (time_xi**2)
        + d.mean() * (time_xi**3)
        + e * 1
        + f * (1 * time_xi)
    ),
    color="darkblue",
    lw=2,
    label="Expected Growth Trajectory - Female",
)

for indx, id in zip([0, 1, 2, 3, 5, 6, 7, 8], [2, 8, 10, 30, 34, 40, 9, 11]):
    female = df_external[df_external["ID"] == id]["FEMALE"].unique()[0] == 1
    plot_individual(posterior, id, female, axs[indx])
    axs[indx].plot(
        df_external[df_external["ID"] == id]["GRADE"],
        df_external[df_external["ID"] == id]["EXTERNAL"],
        "o",
        color="black",
        label="Observed",
    )
    axs[indx].set_title(f"Within the Individual {id} Uncertainty")
    axs[indx].legend()


axs[4].set_ylabel("Externalising Score")
axs[4].set_xlabel("Time in Grade")
axs[4].legend()
axs[4].set_title("Between Individual Trajectories \n By Gender", fontsize=20);
../_images/3a53862a735439d70c06d3269f901a2b9f80c60dd6fdaae0273ab43f5a41544c.png

The implications of this final model suggest that there is a very slight differences in the probable growth trajectories between men and women, and moreover that the change in level of externalising behaviours over time is quite minimal, but tends to tick upwards by grade 6. Notice how for Individual 40, the model implied fits cannot capture the wild swings in the observed data. This is due to the shrinkage effect which strongly pulls our our intercept term towards the global mean. This is a good reminder that the model is aid to generalisation, not a perfect representation of individual trajectories.

Conclusion#

We’ve now seen how the Bayesian hierarchical models can be adapted to study and interrogate questions about change over time. We seen how the flexible nature of the Bayesian workflow can incorporate different combinations of priors and model specifications to capture subtle aspects of the data generating process. Crucially, we’ve seen how to move between the within individual view and the between individual implications of our model fits, while assessing the models for their fidelity to the data. There are subtle issues around how to assess causal inference questions in the panel data context, but it is also clear that longitudinal modeling allows us to sift through the complexities of individual difference in a systematic and principled fashion.

These are powerful models for capturing and assessing patterns of change to compare within and across cohorts. Without random controlled trials or other designed experiments and quasi-experimental patterns, panel data analysis of this kind is as close as you’re going to get to deriving a causal conclusion from observational data that accounts (at least partially) for heterogeneity in the treatment outcomes of individuals.

Authors#

  • Authored by Nathaniel Forde in April 2023

  • Updated to use pz.maxent instead of pm.find_constrained_prior and LOO instead of WAIC. Osvaldo Martin. August 2024

References#

[1]

Judith Singer .D and John Willett .B. Applied Longitudinal Data Analysis. Oxford University Press, 2003.

[2]

A. Solomon Kurz. Applied longitudinal data analysis in brms and the tidyverse. Bookdown, 2021. URL: https://bookdown.org/content/4253/.

Watermark#

%load_ext watermark
%watermark -n -u -v -iv -w -p pytensor
Last updated: Sat Aug 17 2024

Python implementation: CPython
Python version       : 3.11.5
IPython version      : 8.16.1

pytensor: 2.25.2

xarray     : 2023.10.1
matplotlib : 3.8.4
statsmodels: 0.14.2
arviz      : 0.19.0.dev0
pymc       : 5.16.2+20.g747fda319
numpy      : 1.24.4
bambi      : 0.14.0
pandas     : 2.1.2
preliz     : 0.9.0

Watermark: 2.4.3

License notice#

All the notebooks in this example gallery are provided under the MIT License which allows modification, and redistribution for any use provided the copyright and license notices are preserved.

Citing PyMC examples#

To cite this notebook, use the DOI provided by Zenodo for the pymc-examples repository.

Important

Many notebooks are adapted from other sources: blogs, books… In such cases you should cite the original source as well.

Also remember to cite the relevant libraries used by your code.

Here is an citation template in bibtex:

@incollection{citekey,
  author    = "<notebook authors, see above>",
  title     = "<notebook title>",
  editor    = "PyMC Team",
  booktitle = "PyMC examples",
  doi       = "10.5281/zenodo.5654871"
}

which once rendered could look like: